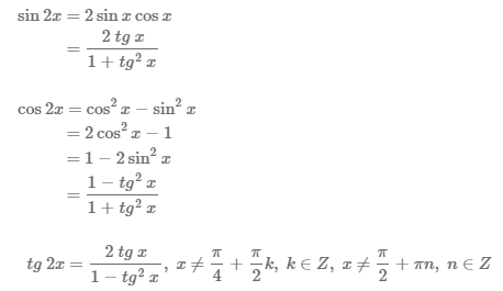
Рассмотрим три основные тригонометрические функции: синус, косинус и тангенс. Каждую из функций можно представить в виде отношения сторон прямоугольного треугольника.

Функция синуса:
Функция косинуса:
Функция косинуса:
Разделим
на
:

Запишем наше первое тождество:


В прямоугольном треугольнике сумма квадратов катетов равна квадрату гипотенузы:

Преобразуем формулу:

После замены отношения сторон на функции синуса и косинуса получили тождество:






