Формулы сокращенного умножения применяются для преобразования выражений. Тождества используются для представления целого выражения в виде многочлена и разложения многочленов на множители.


Рассмотрим на примерах применение формул сокращенного умножения.
Разложим выражение на множители с помощью формулы квадрата суммы 

Воспользуемся формулой квадрата разности 

Разложим выражение на множители с помощью формулы разности квадратов 

Рассмотрим на примерах применение формул сокращенного умножения.
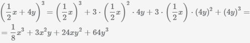
Разложим выражение на множители с помощью формулы куба суммы 

Формула куба разности 

Воспользуемся формулой суммы кубов 

Воспользуемся формулой разности кубов 
