Свойства логарифмов

Формулы преобразования логарифмов
# Свойство
1 основное логарифмическое тождество
2 свойства логарифма 1 по основанию a, логарифма a по основанию a
3 свойства логарифма bc по основанию a, формула логарифма произведения
4 свойства логарифма дроби b/c по основанию a, формула для логарифма частного
5 свойства логарифма b в степени x по основанию a, формула для логарифма степени
6 свойства логарифма b по основанию a в степени x
7 свойства логарифма b в степени 2n по основанию a
8 свойства логарифма дробь 1/b по основанию a
9 логарифм b a переход к третью основанию c, формула перехода к новому основанию логарифма
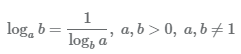
10 логарифм b a переход к основанию b

В таблице представлены основные формулы преобразования логарифмов.

Формулы логарифмов
# Формула
1 формула перехода от равенства логарифмов к системе неравенств, в основание логарифмов функция
2 формула перехода от равенства логарифмов к системе неравенств, в основание число
3 формула перехода от сравнения логарифмов к системе неравенств, в основание число
4 формула перехода от сравнения логарифмов к системе неравенств, в основание число
5 формула перехода от сравнения логарифмов к системе неравенств, в основание число
6 формула перехода от сравнения логарифмов к системе неравенств, в основание число

Представлены формулы позволяющие избавится от логарифмов и перейти к системе неравенств.